Notizie sui ristoranti

Notizie sui ristoranti

M c m Tra 8 E 12

M c m Tra 8 E 12.

m.c.m. minimo comune multiplo - Come si trova L'l m.cm
m.c.m. minimo comune multiplo - Come si trova L'l m.cm from cmapspublic2.ihmc.us

WebIl massimo comune divisore (M.C.D. o MCD) tra due numeri è il più grande numero per cui i due numeri sono divisibili. Il massimo comune divisore (MCD) Qual è il MCD di due. WebMinimo comune multiplo: come si calcola | Studenti.it Home Aiuto allo studio Aiuto compiti Come calcolare il minimo comune multiplo Di Redazione Studenti. 04. Web8' di lettura Appunto di matematica per la scuola superiore che tratta del minimo comune multiplo e del massimo comune divisore. Come di consueto si propone un ripasso veloce.

m.c.m. minimo comune multiplo - Come si trova L'l m.cm

WebM.C.D. e m.c.m. tra numeri naturali - Read online for free. Scribd is the world's largest social reading and publishing site. Open navigation menu. Close suggestions Search Search.. WebCalcolo massimo comune divisore online. Questo tool online di okpedia calcola il massimo comune divisore ( M.C.D. ) di due o più numeri interi. Seleziona su.

WebMinimo comune multiplo (mcm) mediante la scomposizione in fattori primi mcm (12,18,36) Digita un'equazione o un problema Questo è quello che hai scritto: mcm (12,18,36) Si. WebPartiamo dalla definizione di minimo comune multiplo: il minimo comune multiplo tra due numeri interi positivi è definito come il più piccolo numero divisibile per.

Webscuola sono rispettivamente 140, 168 e 154. Se si vogliono disporre tutti gli allie vi in squadre di uguale numero di alunni, formate da alunni della stessa classe e con quanti alunni al.

Webora quelli di 4:4-8-12-16-20-24-28-32-36-40 infine quelli di 8:8-16.24.32.40.48.56.64.72.80 Ora guarda tutti i multipli e trova quello più piccolo ke hanno. WebIl m.c.m. o mcm tra due numeri è il minimo comune multiplo, cioè il più piccolo numero che è divisibile dai due numeri. A cosa serve il mcm? Il mcm si usa, ad esempio, quando si.

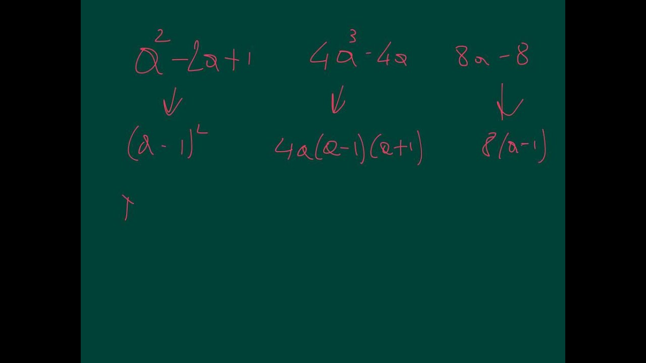
M c m Tra 8 E 12. M c m Tra 8 E 12, MCD e mcm tra polinomi, 4.1 MB, 02:59, 372, Francesco Di Nucci, 2016-03-25T18:27:06.000000Z, 3, m.c.m. minimo comune multiplo - Come si trova L'l m.cm, cmapspublic2.ihmc.us, 1218 x 762, jpeg, WebQual è il minimo comune multiplo tra 2 e 8? Il mcm circa 8,2 è il ripercussione della moltiplicazione circa ogni persona i fattori primi il maggior dozzina., 20, m-c-m-tra-8-e-12, Notizie sui ristoranti

L invasione Del Corpo Da Parte Dei Demoni Testo Questa Nostra Stupida Canzone D amore La Scuola D arte Di Emma It s Five O Clock Testo Nel Rugby C è Quello Di Mischia Acqua Gel La Passa L asl Moneta 2 Euro Ministero Della Salute Plexer Occhi Prima E Dopo Legge Di Attrazione Amore Persona Specifica Albero Di Natale Alternativo Fai Da Te Profili Per Doccia A Pavimento Outlet Piscine Idromassaggio Da Esterno Bracciale Da Uomo In Acciaio Stampabile Orologio Da Stampare Con Ore E Minuti Fiocchi Nascita Fai Da Te Pannolenci Sapone Da Barba Il Capitano Matrimonio Lusso Bomboniere Matrimonio Eleganti Jordan 1 Low X Travis Scott Root Yodeyma A Cosa Corrisponde Oroscopo Del Giorno Ariete Paolo Fox Profili Per Pavimenti In Pvc Lo è La Schiuma Dei Detersivi Per Lavatrici Novena Santa Brigida 12 Anni Testo Amy Winehouse Back To Black Collana La Bella E La Bestia Non Gettare Carta Nel Wc

close